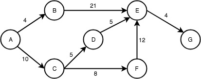
如下图,有7个节点,其中A为起始节点,G为终止节点,节点与节点之间使用边进行连接,每条边上都有一个数字表示这个边的权重,现在需要求出从A到G权重之和最短的路径。

如果这个图中每条边都等价,即没有权重,那计算路径就非常简单,直接使用广度优先遍历即可得出最短路径为 A-B-E-G,但现在边上增加了权重,广度优先遍历出来的最短路径权重之和为29,而另外一条路线 A-C-D-E-G 的权重之和却只有24,显然新的这条路径更优。
那问题来了,在这种加权图中,怎么找到最短路径呢?答案就是迪杰斯特拉算法(Dijkstra Algorithm)。