如下图,有7个节点,其中A为起始节点,G为终止节点,节点与节点之间使用边进行连接,每条边上都有一个数字表示这个边的权重,现在需要求出从A到G权重之和最短的路径。

如果这个图中每条边都等价,即没有权重,那计算路径就非常简单,直接使用广度优先遍历即可得出最短路径为 A-B-E-G,但现在边上增加了权重,广度优先遍历出来的最短路径权重之和为29,而另外一条路线 A-C-D-E-G 的权重之和却只有24,显然新的这条路径更优。
那问题来了,在这种加权图中,怎么找到最短路径呢?答案就是迪杰斯特拉算法(Dijkstra Algorithm)。
什么是Dijkstra算法?
迪杰斯特拉算法(Dijkstra)是从一个顶点到其余各顶点的最短路径算法,解决的是加权图中最短路径问题。迪杰斯特拉算法主要特点是以起始点为中心,向外层层扩展,直到扩展到终点为止。
Dijkstra算法主要包括4个步骤:
- 找出成本最低的节点,即路径权重之和最小的节点。
- 更新该节点相邻节点的开销。
- 重复这个过程,直到对图中的每个节点都进行了这样的操作。
- 计算最终路径。
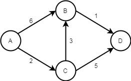
为了节约篇幅,这里使用一个更加简单的加权图对流程进行描述

假设有一个人需要从A去到D,但是没有直达的路径,需要经过B或者C进行中转,行进过程中所需要的时间就是边上的权重值,单位为分钟,下面来一起看下算法整体的运作流程。
第一步,因为A为起点,可以直接更新其相邻节点的所需要的时间。很显然,B的耗时为6分钟,C的耗时为2分钟。与A不相邻的节点,由于还不知道具体所需要消耗的时间,这里先假定为无穷大。
| 地点 | 时间 |
|---|---|
| B | 6分钟 |
| C | 2分钟 |
| D | 无穷大 |
第二步,由于C目前耗时最少,所以更新C相邻节点的耗时。这个时候会发现一条前往B节点耗时更少的路径,由C前往B只需要5分钟,故对B节点的最小耗时进行更新,另外D节点的耗时需要更新为7分钟。
| 地点 | 时间 |
|---|---|
| B | 5分钟 |
| C | 2分钟 |
| D | 7分钟 |
第三步,除了C节点外,耗时最少的节点就是B节点了,更新B节点所有相邻节点的耗时。会发现终点D的最小耗时为6分钟。
最终,对所有节点都进行了Dijkstra算法,得出每个节点的耗时分别为:
| 地点 | 时间 |
|---|---|
| B | 5分钟 |
| C | 2分钟 |
| D | 6分钟 |
从起点到终点的最短路径为 A-C-B-D,总计耗时6分钟。
代码实现
Dijkstra 算法的整体逻辑不算复杂,代码实现也比较简单,首先,对图结构进行抽象,先封装成三类对象:节点、边、图,对应的代码实现依次如下:
节点
节点有三个属性,分别为节点的ID、进出的两组边。另外,还封装了一些简单的方法,如:求两个相邻节点间最小的权重,获取所有相邻节点(只包含出边)等。
1 | import lombok.Getter; |
加权边
加权边的封装更加简单,只有出入的两个节点引用及边的权重。
1 | import lombok.AllArgsConstructor; |
有向图
有向图的实现稍微复杂一点点,它保存了所有的节点,并标明了起始节点与终止节点,看起来更像是一个用于构造图结构的工具,它提供了连接,打标,查找等功能。
1 | import lombok.Getter; |
算法核心实现
Dijkstra 实现只提供了一个方法,输入一张图实例,即可得到一个运算结果 DijkstraResult,简单粗暴。
整个实现逻辑中使用了三个比较重要的集合:
costMap: 用于记录每个节点最小的权重和;previousMap:用于记录当前节点权重和最小时对应前一个节点是谁,后面会用来回溯出整个最短路径;doneNodes:记录所有已经完成扩展操作的节点,避免同一个节点进行多次扩展操作,可能出现死循环。
1 | public class Dijkstra { |
整个代码的逻辑应该算是比较清晰的,面向对象的语言的一个好处就是『说人话』,比满天的基础数据结构看着舒服多了。
在上面的实现中还有一个最终结果的封装类,这里面也把实现代码贴一下,太简单,就不做具体描述了。
1 | public class DijkstraResult { |
算法测试
为了验证算法的正确性,这里以文首提出的问题为示例,通过 Graph 实现构建一份完整的有向加权图。
1 |
|
运行该单元测试,可以得到如下输出:
1 | [A, C, D, E, G] : 24 |
与我们预期的结果完全一致,代码实现得以验证。
总结
Dijkstra是用于求解有向加权图中两个顶点之间最短路径的算法,主要包括4个步骤:
- 找出成本最低的节点,即路径权重之和最小的节点。
- 更新该节点相邻节点的开销。
- 重复这个过程,直到对图中的每个节点都进行了这样的操作。
- 计算最终路径。
注意: Dijkstra算法只适用于有向无环图,如果图中存在负权边,该算法也不适用。